車圓錐面的方法

2019-07-0611:21:52車圓錐面的方法已關閉評論

圓錐面有外圓錐面和內圓錐面之分。圓錐面配合緊密,拆卸方便,多次拆卸后仍能保持精確的對中性。因此,圓錐面廣泛用于要求定位準確和經常拆卸的配合件上。例如,車床主軸和尾架套筒的圓錐孔與頂尖圓錐柄的配合,各種定位圓錐銷與圓錐銷孔的配合等。

車削圓錐面的方法有:小刀架轉位法、偏移尾架法、靠模法和寬刀法。小刀架轉位法在實習中學習實踐過,寬刀法與成形刀法車成形面類似,這里主要介紹偏移尾架法和靠模法。

1)偏移尾架法

偏移尾架法如圖5.2.11所示。工件安裝在前后頂尖之間,把尾架沿橫向向前或向后偏移一定的距離S,使工件的回轉軸線與車床主軸線的夾角等于工件的圓錐斜角α,車刀自動縱向進給即可車出所需要的圓錐面。建議最好使用球頂尖(見圖中放大部分),以改善頂尖與中心孔的接觸狀況。偏移尾架法加工的表面粗糙度R a值與車外圓相同。

圖5.2.11 偏移尾架法車圓錐面

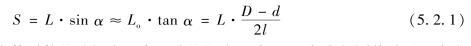
設工件的總長度為L,圓錐面的大端直徑為D,小端直徑為d,長度為l,圓錐斜角為α(不大于12°),則尾架偏移量S為:

當加工一批零件時,應使零件的總長度和中心孔的深淺一致。否則,在相同偏移量下會出現錐度誤差。

偏移尾架法的特點是能加工較長工件上的錐面,能自動走刀。但不能加工錐孔,圓錐角不宜太大。一般用于單件或成批生產。

圖5.2.12 靠模法車圓錐面

2)靠模法

如圖5.2.12所示,靠模法車圓錐面的原理和方法與車成形面相同。只需要把圖5.2.10中的滾柱換成滑塊、曲線靠模板換成錐度靠模板即可。此法加工的表面粗糙度R a值與車外圓相同。

靠模法車圓錐面的特點是能加工內、外錐面,可以縱向自動走刀,能加工圓錐面的圓錐一般應小于12°,適宜成批加工和大量生產中較長的錐面。